18日晚,武汉铁路部门发布信息称:根据中央气象台发布的寒潮橙色预警,2月18日至24日,我国大部地区将出现大范围雨雪冰冻天气。为确保旅客出行安全,铁路部门将根据天气变化动态调整旅客列车运行方案,部分列车可能停运或晚点,请广大旅客朋友注意天气变化情况,并及时关注12306信息及车站官方微博公告,合理安排出行。
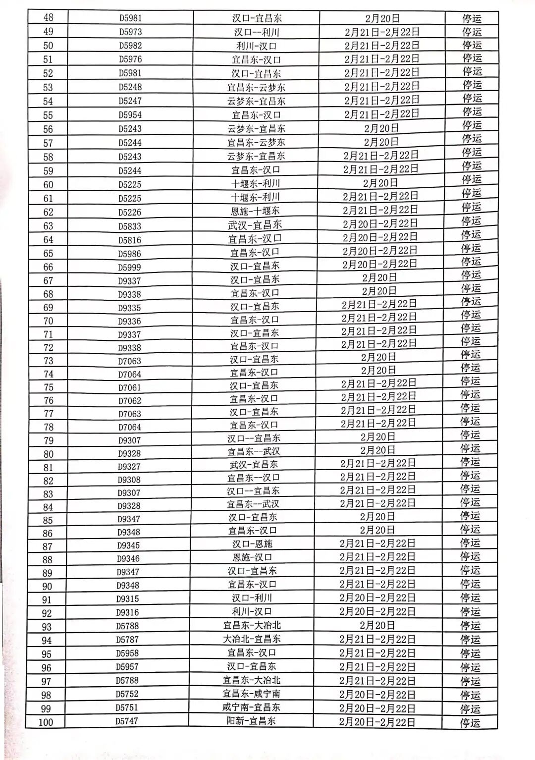
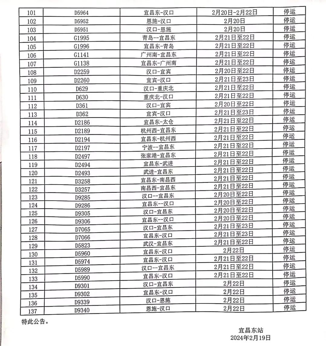
据三峡晚报消息,为应对低温冻雨极端天气,截至19日11时,宜昌东站137趟列车停运。购买停运列车车票旅客可在接到通知之时起至票面乘车日期后30日以内(含当日)在12306网站、手机12306APP、车站人工窗口、具有退票功能的自助机办理退票,不收退票费。



(来源 长江云新闻综合 武汉铁路 三峡晚报)