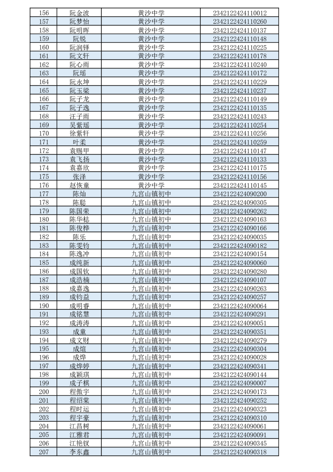
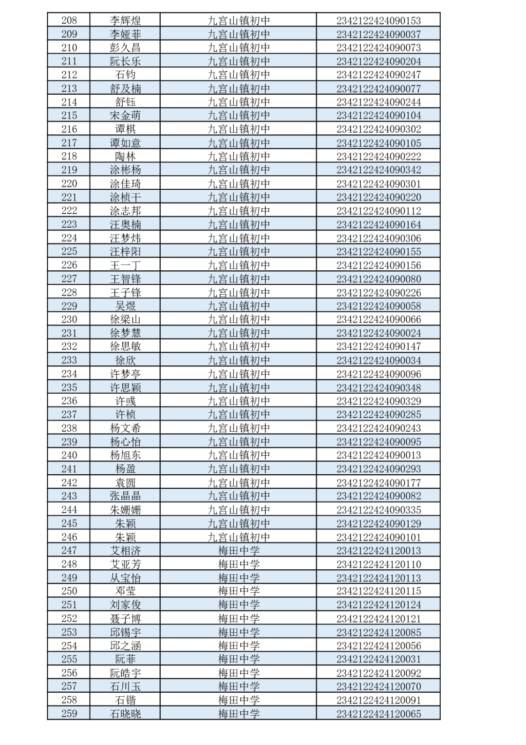
通山一中2023级新生录取名单 云上通山——通山县融媒体中心 2023-07-13 18:29 0 各位家长、各位同学: 九年芸窗为中考,一朝金榜喜题名。选择一中,选择成功!根据个人志愿,通过咸宁市考试院招生平台统一录取,下列优秀学子成为我校2023级高一新生,特此恭贺!录取名单如下(按照毕业学校和姓名首字母排序): 来源:湖北省通山县第一中学